Latihan Uts Cepat

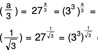
Diberikan Fx27x Tentukan Nilai Dari Fa3


Diberikan F X 8 X Carilah Nilai Dari F A 3 Dan F X 1 Akar 3 Brainly Co Id
brainly.co.id

Soal Dan Pembahasan Pangkat Akar Dan Logaritma Versi Hots Dan Olimpiade Mathcyber1997
mathcyber1997.com

Soal Utn 2014
www.scribd.com

Tanya Jawab Matematika Asyik Mudah Dan Cepat Bersama Paman Apiq Anak Kreatif Berprestasi Wa 0818 22 0898
apiqquantum.com

Am Kalkulus Ii K A L K U L U S 1 Hak Cipta C Akhsanul In Am Hak Terbit Pdf Document
fdokumen.com

Kelas11ps Matematika Inovatif Konsep Dan Aplika
www.yumpu.com

Turunan Pertama Dari Fungsi F X X 1 2 X 1 Adalah F X Youtube
m.youtube.com

Diataskkm Tak Takut Remedial
diataskkm.wordpress.com

2

Sma11mat Matematika Progipa Nugroho
dokumen.tips

Web View2013 09 19nilai P Yang Memenuhi Adalah A 3 B 3 C 2 D 2 Nilai Maksimum 3 Untuk X 2 Sedangkan Untuk X 2 Nilai 30x 90k 0 Merupakan Suku Pertama Dan Doc Document
vdocuments.mx

Preliminary Round Question Fix Mqej1m2yrol5
doku.pub

Diketahui Fungsi Fx X Pangkat 3 Kurang 27 X Kurang 27 Nilai Stasioner Fungsi Tersebut Adalah Brainly Co Id
brainly.co.id

Soal Dan Pembahasan Suku Banyak
www.slideshare.net

Wahana Matematika Ipa By Ayu Rahayu Issuu
issuu.com

Intip Solusi Super Menyelesaikan Soal Fungsi Komposisi Buat Kelas 10 Quipper Line Today
today.line.me

Diberikan F X 27 X Carilah Nilai Dari Brainly Co Id
brainly.co.id

Belajar Happy June 2019
belajarhappybareng.blogspot.com

Diberikan F X 27x Carilah Nilai Dari F 2 Brainly Co Id
brainly.co.id

Pembahasan Soal Un Persamaan Dan Pertidaksamaan Eksponen Smatika
smatika.blogspot.com

Suku Banyak 2x 3 Ax 2 Bx 3 Dibagi Oleh X 2 4 Bersisa X 23 Nilai A B Adalah Youtube
m.youtube.com

Diketauni F X 27xtentukan Nilai Dari F A 3 Mohon Bantuannya Brainly Co Id
brainly.co.id

Web View2013 09 19nilai P Yang Memenuhi Adalah A 3 B 3 C 2 D 2 Nilai Maksimum 3 Untuk X 2 Sedangkan Untuk X 2 Nilai 30x 90k 0 Merupakan Suku Pertama Dan Doc Document
vdocuments.mx

Modul Matematika Sma Ma Bentuk Pangkat Akar Dan Logaritma Flip Book Pages 1 14 Pubhtml5
pubhtml5.com

29385408 65 Modul Matematika Kumpulan Soal Akhir Kelas X Xi Xii Pdf Document
fdokumen.com

Prediksi Pbt Uii Docx Nl2pyj36v508
doku.pub

Add Quadratic Equation Elementary Mathematics
www.scribd.com

1 Akar Bentuk Lainnya
studylibid.com

Doc Bab Iii Limit Sama Jaya Academia Edu
www.academia.edu

Turunan Pertama Dari Fungsi F X 3x 2x 5 Pangkat 6 Adalah F X Brainly Co Id
brainly.co.id

Bentuk Pangkat Eksponen Akar Dan Logaritma
studylibid.com

Intip Solusi Super Menyelesaikan Soal Fungsi Komposisi Buat Kelas 10 Quipper Line Today
today.line.me

Limit Fungsi
studylibid.com

Add Quadratic Equation Elementary Mathematics
www.scribd.com

Kelas10 Smk Mtk Persamaan Dan Pertidaksamaan Vlr05oqwewlz
idoc.pub

5 Sets Mt Merge Pages 151 200 Flip Pdf Download Fliphtml5
fliphtml5.com

65 Modul Matematika Kumpulan Soal Akhir Kelas X Xi Xii
pdfslide.tips

Intip Solusi Super Menyelesaikan Soal Fungsi Komposisi Buat Kelas 10 Quipper Line Today
today.line.me

Limit Fungsi Aljabar C6
www.scribd.com

Wahana
www.yumpu.com

Http Eprints Umm Ac Id 36760 2 In E2 80 99am 20 20kalkulus 20diferensial Pdf

Spl
id.scribd.com

Diberikan F X 27 X Tentukan Nilai Dari F A 3 Dan F 1 3 Brainly Co Id
brainly.co.id

Matematika Docx 2nv8ggw7jdlk
idoc.pub

Modul Add Maths 2009 Paper 1 New By Sitisuhaida Issuu
issuu.com

Gesmo 2019 Upper Maths 1 15 Speed Numbers
www.scribd.com

Intip Solusi Super Menyelesaikan Soal Fungsi Komposisi Buat Kelas 10 Quipper Line Today
today.line.me

Preliminary Round Question Fix Mqej1m2yrol5
doku.pub

Modul Matematika Sma Ma Bentuk Pangkat Akar Dan Logaritma Flip Book Pages 1 14 Pubhtml5
pubhtml5.com

Preliminary Round Question Fix Mqej1m2yrol5
doku.pub

Soal13 Docx Document
vdokumen.com

Jawab Soal Unbk Matematika Smk 2017 Tipe Soal B
www.slideshare.net

Soal Dan Pembahasan Suku Banyak
www.slideshare.net

Modul Matematika Sma Ma Bentuk Pangkat Akar Dan Logaritma Flip Book Pages 1 14 Pubhtml5
pubhtml5.com

Diberikan F X 27x Tentukan Nilai Dari A F A 3 B F 1 3 Mas Dayat
www.masdayat.net

Modul Matematika Sma Ma Bentuk Pangkat Akar Dan Logaritma Flip Book Pages 1 14 Pubhtml5
pubhtml5.com

Bentuk Pangkat Eksponen Akar Dan Logaritma
studylibid.com

Soal Mm Ipa Uasbn
studylibid.com

Soal Soal Latihan 1 Eksponen Bulat
id.123dok.com

Tanya Jawab Rumushitung Com
rumushitung.com

Pdf Soal Soal Olimpiade Matematika Dan Penyelesaiannya Ary Brainer Academia Edu
www.academia.edu

19 Modul Turunan Diferensial Pak Sukani
www.slideshare.net

65 Modul Matematika Kumpulan Soal Akhir Kelas X Xi Xii
pdfslide.tips

Add Quadratic Equation Elementary Mathematics
www.scribd.com

Tentukan Nilai Polinomial Berikut Untuk Nilai X Yang Disebutkan Menggunakan Cara Subtitusi Dan Cara Brainly Co Id
brainly.co.id

Sma11mat Matematika Progipa Nugroho
dokumen.tips

Nilai Minimum Fungsi F X X 27x Pada Interval 1 X 4 Adalah Brainly Co Id
brainly.co.id

Https Parameterd Files Wordpress Com 2013 09 Pengantar Matematika Pdf

Bahan Ajar
id.scribd.com

Matematika Program Sertifikasi Guru Rayon 44
studylibid.com

Modul Matematika Kumpulan Soal Pages 1 50 Flip Pdf Download Fliphtml5
fliphtml5.com

Pdf Matematika Sma Pandji S W Academia Edu
www.academia.edu

Preliminary Round Question Fix Mqej1m2yrol5
doku.pub

Modul Matematika Sma I A Pengurangan Perkalian Kerjakan Soal Soal Dalam Cek Kemampuan Untuk Mengukur Sampai Memahami Bilangan Berpangkat Pecahan I Pdf Document
fdokumen.com

Intip Solusi Super Menyelesaikan Soal Fungsi Komposisi Buat Kelas 10 Quipper Line Today
today.line.me

Modul Matematika Kumpulan Soal Akhir Kelas X Xi Xii Pages 1 50 Flip Pdf Download Fliphtml5
fliphtml5.com

Jika Faktor Faktor F X 3x 3 5x 2 Px Q Adalah X 1 Dan X 3 Maka Nilai P Dan Q Berturut Turut Brainly Co Id
brainly.co.id

Nilai Maksimum Fungsi F X X 3 3x 2 9x Dalam Interval Adalah Youtube
m.youtube.com

Soal13
dokumen.tips

Tentukan Nilai A B C Jika Diketahui D 3x 11 A 2x 3 B X Q E 7x 2 8x 10 Ax B Brainly Co Id
brainly.co.id

Diketahui Turunan Pertama Fungsi Fx Adalah F Aksen X 4 Min 6 X Jika Nilai F 3 Min 12 Tentukan Brainly Co Id
brainly.co.id

5 Tlsk 2014 08122014 Fix Doc Vnd5y8zrerlx
idoc.pub

Diberikan F X 27 X Tentukan Nilai Dari F A 3 Dan F 1 3 Brainly Co Id
brainly.co.id

Diataskkm Tak Takut Remedial
diataskkm.wordpress.com

Trigonometri 310 347 1 En Id Docx
id.scribd.com

Soal Soal Turunan Youtube
www.youtube.com

Ayoo Belajar Contoh Soal Fungsi Komposisi
ayooblajar.blogspot.com

65 Modul Matematika Kumpulan Soal Akhir Kelas X Xi Xii
pdfslide.tips

2 Kurva Mempunyai Persamaan Y 27x 4 X 2 Titik Minimum Dari Kurva Tersebut Adalah 3 Koordinat Brainly Co Id
brainly.co.id

91 Struktu Beton Bertulang Istimawan Docx Klzzqodwd7lg
idoc.pub

Akar 3 Pangkat 2x 1 9 Pangkat X 2 Tentukan Nilai X Youtube
m.youtube.com

Modul Matematika Kumpulan Soal Pages 1 50 Flip Pdf Download Fliphtml5
fliphtml5.com

Matematika Sma Kelas 10 By Ayu Rahayu Issuu
issuu.com

Pdf 10 Contoh Soal Maks Min Kemonotonan Kecekungan Handayani Fitri Academia Edu
www.academia.edu

If F X 3x 1 G X X 2 2 Find Fog X And Gof X Youtube
www.youtube.com

Fungsi Turunan Bab Akhir
dokumen.tips

Jilid 3 Yang Berisi Soal Soal Menantang Khusus Diberikan Bagi Siswa Penggemar Matematika C Notasi Sigma Dan Induksi Matematika Pdf Document
vdokumen.com

Diketahui Fungsi F X 2x 3 Dan G X X 3x 2 Tentukan Fog X Dan Gof X Brainly Co Id
brainly.co.id

Matematik Tambahan Tg4 Bab 1 Ransangan 0 1 Pages 1 32 Text Version Anyflip
anyflip.com

Matematika Program Sertifikasi Guru Rayon 44
studylibid.com

close