Latihan Uts Cepat

Kunci Jawaban Latihan 14 Matematika Kelas 9 Kurikulum 2013


Jawaban Latihan 1 4 Bab 1 Matriks Mtk Kelas 12 Halaman 51 Contoh Materi Pendidikan
contohmateripendidikan.blogspot.com

Soal Dan Pembahasan Latihan 5 1 Matematika Kelas 8 Bab Teorema Phytagoras Kedai Mipa
www.allmipa.com

Latihan 1 4 Nomor 6 7 8 9 10 Kelas 9 Smp Mts Pangkat Nol Bentuk Akar Mtk Bse Revisi 2018 Hal 46 Youtube
www.youtube.com

Jawaban Matematika Kelas 8 Halaman 22 Guru Ilmu Sosial
www.ilmusosial.id

Buku Guru Kelas Ix Matematika K 13
www.slideshare.net

Latihan 1 4 No 1 6 Pangkat Nol Pangkat Negatif Dan Bentuk Akar Matematika Kelas 9 Bab 1 Youtube
m.youtube.com

Kunci Jawaban Matematika Latihan 14 Sanjau Com
www.sanjau.com

Buku Guru K 13 Revisi 2016 Kelas 7 Smpmts Matematika
www.yumpu.com

Latihan 1 4 Buku Paket Kelas 9 Halaman 46 Nomor 2 Sampai 6 Brainly Co Id
brainly.co.id

Paket Matematika Kelas 8 Semester 1 Hal 22 Ayo Kita Berlatih 1 4 Brainly Co Id
brainly.co.id

Pembahasan Ayo Kita Berlatih 2 4 Matematika Kelas 7 Bab Himpunan K13 Kedai Mipa
www.allmipa.com

Soal Dan Pembahasan Lengkap Matematika Uji Kompetensi 6 Smp Kelas 7 Kurikulum 2013 Revisi 2016 Kedai Mipa
www.allmipa.com

Buku Guru Kelas Ix Matematika K 13
www.slideshare.net

Https Matematohir Files Wordpress Com 2014 06 Buku Pegangan Guru Matematika Sma Kelas 10 Kurikulum 2013 Edisi Revisi 2014 Pdf

Soal Dan Pembahasan Latihan 1 2 Kelas 8 Bab 1 Sistem Koordinat Kedai Mipa
www.allmipa.com

Soal 1 5 Pembahasan Ayo Kita Berlatih 5 1 Matematika Kelas 7 Bab Perbandingan K13 Kedai Mipa
www.allmipa.com

Kunci Jawaban Matematika Kelas 9 Halaman 10 11 Latihan 1 1 Kosingkat
www.kosingkat.id

Jawaban Uji Kompetensi 1 Matematika Kelas 9 Smp Halaman 58 Kurikulum 2013 Revisi 2018 Brainly Co Id
brainly.co.id

Hak Cipta 2015 Pada Kementerian Pendidikan Dan Kebudayaan Dilindungi Undang Undang Pdf Free Download
docplayer.info

Paket Matematika Kelas 8 Semester 1 Hal 22 Ayo Kita Berlatih 1 4 Brainly Co Id
brainly.co.id

Https Matematohir Files Wordpress Com 2015 06 Buku Pegangan Guru Matematika Smp Kelas 9 Kurikulum 2013 Pdf

Kunci Jawaban Matematika Latihan 14 Sanjau Com
www.sanjau.com

Terlengkap Soal Latihan Kelas 9 Smp Matematika Beserta Kunci Jawaban
www.cadiak.id

Lengkap Kunci Jawaban Buku Paket Matematika Latihan 1 4 Pangkat Nol Pangkat Negatif Dan Bentuk Akar Halaman 46 47 47 49 Kelas 9 Kurikulum 2013 Jawaban Buku Paket
www.jawabanbukupaket.com

Jawaban Uji Kompetensi 1 Matematika Kelas 9 Smp Halaman 58 Kurikulum 2013 Revisi 2018 Docx Jawaban Uji Kompetensi 1 Matematika Kelas 9 Smp Halaman 58 Course Hero
www.coursehero.com

Jawaban Uji Kompetensi 1 Matematika Kelas 9 Smp Halaman 58 Kurikulum 2013 Revisi 2018 Docx Jawaban Uji Kompetensi 1 Matematika Kelas 9 Smp Halaman 58 Course Hero
www.coursehero.com

Jawaban Latihan 1 5 Kelas 9 Semester 1 Brainly Co Id
brainly.co.id

Kunci Jawaban Matematika Kelas 9 Halaman 46 49 Latihan 1 4 Kosingkat
www.kosingkat.id

Mtk Ayo Kita Berlatih 1 4 Kelas 8 K 13 Tolong D Jawab Besok D Kumpul Brainly Co Id
brainly.co.id

Notasi Ilmiah Bentuk Baku Latihan 1 4 Hal 32 Buku Paket Siswa Brainly Co Id
brainly.co.id

Buku Siswa Matematika Kelas 9 Revisi 2018 Compressed Pages 1 50 Text Version Anyflip
anyflip.com

Buku Guru Kelas Ix Matematika K 13
www.slideshare.net

Jawaban Latihan 1 4 Bab 1 Matriks Mtk Kelas 12 Halaman 51 Contoh Materi Pendidikan
contohmateripendidikan.blogspot.com

Matematika Sma Kelas X Semester 1 Siswa Pages 1 50 Flip Pdf Download Fliphtml5
fliphtml5.com

Soal No 13 Latihan 1 4 Kelas 9 Semester 1 Brainly Co Id
brainly.co.id

Jawaban Latihan 1 4 Bab 1 Matriks Mtk Kelas 12 Halaman 51 Contoh Materi Pendidikan
contohmateripendidikan.blogspot.com

Matematika Kelas 9 Pages 51 100 Text Version Anyflip
anyflip.com

Perpangkatan Dan Bentuk Akar Smp Kelas 9 Buku Bse Revisi 2018 Matematika Lat 1 4 No
cyberspaceandtime.com

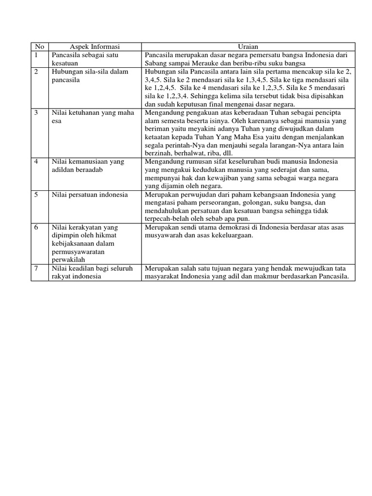
Ppkn Kls 8 Bab 1 Tabel 1 4
id.scribd.com

Latihan 1 3 Nomor 1 2 3 4 5 Kelas 9 Smp Mts Pembagian Pada Perpangkatan Mtk Bse Revisi 2018 Hal 30 Youtube
www.youtube.com

Jawaban Buku Matematika Kelas 7 Ayo Kita Berlatih 1 4 Hal 45 Taksiran Terdekat Untuk Nilai Pentium Sintesi
pentiumsintesi.blogspot.com

Kunci Jawaban Matematika Kelas 7 Halaman 45 50 Ayo Kita Berlatih 1 4 Kosingkat
www.kosingkat.id

Matematika Kelas 7 Semester 1 Kurikulum 2013
www.slideshare.net

Buku Matematika Smp Kelas Ix Kurikulum 2013
www.slideshare.net

Buku Guru Kelas Ix Matematika K 13
www.slideshare.net

Soal 6 10 Soal Dan Pembahasan Matematika Kelas 7 Kurikulum 2013 Ayo Kita Berlatih 5 4 Kedai Mipa
www.allmipa.com

Jawaban Matematika Kelas 8 Halaman 22 Guru Ilmu Sosial
www.ilmusosial.id

Buku Matematika Smp Kelas 7 Semster 1 Kurikulum 2013
www.slideshare.net

Buku Matematika Smp Kelas 9 Semster 1 Kurikulum 2013
www.slideshare.net

Buku Guru Kelas Ix Matematika K 13
www.slideshare.net

Soal Dan Pembahasan Buku Siswa Matematika Kls 9 Semester 1 Latihan 1 4 Hal 46 Pentium Sintesi
pentiumsintesi.blogspot.com

Soal Dan Pembahasan Matematika Latihan 4 2 Kelas 8 Bab Persamaan Garis Lurus Kedai Mipa
www.allmipa.com

Buku Guru Matematika Kelas X
eksis.ditpsmk.net

Contoh Soal Dan Pembahasan Sifat Koligatif Larutan Latihan 1 4 Tips And Trik 5
mamapayish-online.blogspot.com

Latihan 1 4 Nomor 6 7 8 9 10 Kelas 9 Smp Mts Pangkat Nol Bentuk Akar Mtk Bse Revisi 2018 Hal 46 Youtube
www.youtube.com

Jawaban Latihan 1 4 Bab 1 Matriks Mtk Kelas 12 Halaman 51 Contoh Materi Pendidikan
contohmateripendidikan.blogspot.com

Kunci Jawaban Matematika Kelas 8 Halaman 22 23 Ayo Kita Berlatih 1 4 Kosingkat
www.kosingkat.id

Jawaban Soal Matematika Wajib Kelas 11 Uji Kompetensi 1 No 1 5 By Arman Efendi
cyberspaceandtime.com

Jawaban Uji Kompetensi 1 Matematika Kelas 9 Smp Halaman 58 Kurikulum 2013 Revisi 2018 Docx Jawaban Uji Kompetensi 1 Matematika Kelas 9 Smp Halaman 58 Course Hero
www.coursehero.com

Buku Matematika Kelas 10 Kurikulum 2013
www.slideshare.net

Latihan 1 4 Buku Paket Smp Kelas 9 Hal 46 Kurtilas Tolong Di Bantu Secepatnya Brainly Co Id
brainly.co.id

Latihan 1 4 Nomor 11 12 13 14 15 Kelas 9 Smp Mts Pangkat Negatif Bentuk Akar Mtk Bse Hal 46 Youtube
www.youtube.com

Buku Guru Kelas Ix Matematika K 13
www.slideshare.net

Latihan 1 4 Nomor 1 2 3 4 5 Kelas 9 Smp Mts Pangkat Nol Pangkat Negatif Mtk Bse Revisi 2018 Hal 46 Youtube
www.youtube.com

Buku Siswa Matematika Kelas 9 Revisi 2018 Compressed Pages 1 50 Text Version Anyflip
anyflip.com

Lengkap Kunci Jawaban Buku Paket Matematika Latihan 1 4 Pangkat Nol Pangkat Negatif Dan Bentuk Akar Halaman 46 47 47 49 Kelas 9 Kurikulum 2013 Jawaban Buku Paket
www.jawabanbukupaket.com

Pembahasan Ayo Kita Berlatih 5 5 Matematika Kelas 7 Bab Perbandingan K13 Kedai Mipa
www.allmipa.com

Bs Matematika Smp Kelas 9 Rev 2018
id.scribd.com

Latihan 1 4 Nomor 1 2 3 4 5 Kelas 9 Smp Mts Pangkat Nol Pangkat Negatif Mtk Bse Revisi 2018 Hal 46 Youtube
www.youtube.com

Buku Guru Kelas Ix Matematika K 13
www.slideshare.net

Latihan 1 4 Pangkat Nol Pangkat Negatif Dan Bentuk Akar Jawaban Matematika Nesajamath
nesajamath.blogspot.com

Buku Matematika Kelas 9 Pages 1 50 Flip Pdf Download Fliphtml5
fliphtml5.com

Jawaban Matematika Kelas8 Semester 1 Hal 22 Brainly Co Id
brainly.co.id

Soal Dan Pembahasan Lengkap Matematika Uji Kompetensi 6 Smp Kelas 7 Kurikulum 2013 Revisi 2016 Kedai Mipa
www.allmipa.com

Lengkap Kunci Jawaban Buku Paket Matematika Latihan 1 4 Pangkat Nol Pangkat Negatif Dan Bentuk Akar Halaman 46 47 47 49 Kelas 9 Kurikulum 2013 Jawaban Buku Paket
www.jawabanbukupaket.com

Soal Dan Pembahasan Matematika Membandingkan Bilangan Bulat Ayo Kita Berlatih 1 4 Kelas 7 Kurikulum 2013 Soal Pilihan Ganda Kedai Mipa
www.allmipa.com

Matematika Kelas 9 Pages 51 100 Text Version Anyflip
anyflip.com

Https Matematohir Files Wordpress Com 2015 06 Buku Pegangan Guru Matematika Smp Kelas 9 Kurikulum 2013 Pdf

Soal Matematika Kelas 9 Smp Mts 2020 Dan Dengan Kunci Jawabnnya
majalahpendidikan.com

Lengkap Kunci Jawaban Buku Paket Matematika Latihan 1 4 Pangkat Nol Pangkat Negatif Dan Bentuk Akar Halaman 46 47 47 49 Kelas 9 Kurikulum 2013 Jawaban Buku Paket
www.jawabanbukupaket.com

Latihan 1 5 Mtk Kelas 9 K13 No 1 6 Notasi Ilmiah Matematika
www.danlajanto.com

Kls 8 Ayo Kita Berlatih 1 4tolong Ya Kak Brainly Co Id
brainly.co.id

Lengkap Kunci Jawaban Buku Paket Matematika Latihan 1 4 Pangkat Nol Pangkat Negatif Dan Bentuk Akar Halaman 46 47 47 49 Kelas 9 Kurikulum 2013 Jawaban Buku Paket
www.jawabanbukupaket.com

Latihan 1 4 Nomor 11 12 13 14 15 Kelas 9 Smp Mts Pangkat Negatif Bentuk Akar Mtk Bse Hal 46 Youtube
www.youtube.com

Materi Kelas 9 Pangkat Nol Pangkat Negatif Dan Bentuk Akar Tolong Dibantu Bagi Yang Bisa Soal Yg Brainly Co Id
brainly.co.id

Materi Matematika Kelas Ix Hal 46 Edisi Revisi 2018 Sederhanakan Bentuk Pangkat Berikut Brainly Co Id
brainly.co.id

Materi Matematika Smp Mts Kelas 9 Semester Ganjil Kurikulum 2013 Didno76 Com
www.didno76.com

Latihan 1 4 No 13 15 Pangkat Nol Pangkat Negatif Dan Bentuk Akar Matematika Kelas 9 Bab 1 Youtube
www.youtube.com

Contoh Soal Dan Pembahasan Sifat Koligatif Larutan Latihan 1 4 Tips And Trik 5
mamapayish-online.blogspot.com

Sederhanakan Bentuk Akar Berikut Matematika Kelas 9 K13 Halaman 49 1 4 Brainly Co Id
brainly.co.id

Jawaban Ayo Kita Berlatih 1 4 Nomor 4 Matematika Kelas 8 Semua 1 Brainly Co Id
brainly.co.id

Buku Guru Kelas Ix Matematika K 13
www.slideshare.net

Matematika Kelas 7 Semester 1 Kurikulum 2013
www.slideshare.net

Kunci Jawaban Matematika Kelas 9 Halaman 46 49 Latihan 1 4 Kosingkat
www.kosingkat.id

Jawaban Latihan 1 4 Bab 1 Matriks Mtk Kelas 12 Halaman 51 Contoh Materi Pendidikan
contohmateripendidikan.blogspot.com

Pembahasan Matematika Smp Kelas 8 Kurikulum 2013 Latihan 3 2 Smp Negeri 1 Situbondo
8-spensasi.blogspot.com

Matetika Kelas 8 Hal 22 Ayo Kita Berlatih 1 4 Brainly Co Id
brainly.co.id

Buku Guru Kelas Ix Matematika K 13
www.slideshare.net

Perpangkatan Dan Bentuk Akar Smp Kelas 9 Buku Bse Revisi 2018 Matematika Bab I Bilangan Berpangkat Youtube
m.youtube.com

Https Matematohir Files Wordpress Com 2014 06 Buku Pegangan Guru Matematika Sma Kelas 10 Kurikulum 2013 Edisi Revisi 2014 Pdf

close