Latihan Uts Cepat

Kunci Jawaban Lks Matematika Kelas 6 Halaman 27


Kunci Jawaban Buku Tematik Senang Belajar Matematika Kelas 5 Kurikulum 2013 Ruang Edukasi
www.ruangedukasi.com

Kunci Jawaban Senang Belajar Matematika Kelas 6 Kurikulum 2013 Revisi 2018 Sanjayaops
www.sanjayaops.com

Kunci Jawaban Buku Tematik Tema 5 Kelas 6 Halaman 27 29 30 Koesrow
koesrow.blogspot.com

Kunci Jawaban Sd Kelas 6 Halaman 27 28 29 30 Pembelajaran Rukun Dalam Perbedaan Pos Kupang
kupang.tribunnews.com

Kunci Jawaban Buku Tematik Tema 5 Kelas 6 Halaman 27 29 30 Koesrow
koesrow.blogspot.com

Kunci Jawaban Matematika Kelas 5 Halaman 27 Kebalikan Dari Pecahan Campuran Youtube
www.youtube.com

Kunci Jawaban Lks Matematika Kelas 6 Semester 1 Guru Ilmu Sosial
www.ilmusosial.id

Kunci Jawaban Buku Siswa Tema 8 Kelas 6 Bumiku Sanjayaops
www.sanjayaops.com

Uji Kompetensi 1 Nomor 14 15 16 17 18 19 Kelas 9 Smp Mts Perpangkatan Bentuk Akar Halaman 58 59 Youtube
www.youtube.com

Kunci Jawaban Buku Quadra Matematika Kelas 6 Guru Ilmu Sosial
www.ilmusosial.id

Alternatif Kunci Jawaban Tema 2 Kelas 6 Hal 27 28 29 Pembelajaran 4 Persatuan Dalam Perbedaan Tribunnews Com Mobile
m.tribunnews.com

Kumpulan Kunci Jawaban Tema 2 Kelas 6 Halaman 26 27 28 29 Dan 30 Buku Tematik Pembelajaran 4 Sriwijaya Post
palembang.tribunnews.com

Kunci Jawaban Buku Tematik Kelas 3 Tema 3 Benda Di Sekitarku Kurikulum 2013 Ruang Edukasi
www.ruangedukasi.com

Kunci Jawaban Buku Siswa Tema 3 Kelas 6 Halaman 26 27 28 29 30 31 Sanjayaops
www.sanjayaops.com

Kunci Jawaban Buku Tematik Kelas 6 Tema 1 Selamatkan Makhluk Hidup Ruang Edukasi
www.ruangedukasi.com

Jawaban Sd Kelas 6 Halaman 27 28 29 Dan 30 Pembelajaran 4 Tema 2 Subtema 1 Rukun Dalam Perbedaan Tribun Pontianak
pontianak.tribunnews.com

Kunci Jawaban Terampil Mtk 6
id.scribd.com

Kunci Jawaban Lks Matematika Kelas 6 Semester 1 Guru Ilmu Sosial
www.ilmusosial.id

Buku Pendamping Matematika Smp Mts Kelas 8 Kunci Jawaban Incer Shopee Indonesia
shopee.co.id

Kunci Jawaban Buku Tematik Tema 4 Kelas 6 Halaman 25 26 27 28 Koesrow
koesrow.blogspot.com

Kunci Jawaban Buku Tematik Tema 6 Kelas 6 Halaman 21 25 26 27 Koesrow
koesrow.blogspot.com

Soal Matematika Lks Permata Hal 7 Kelas 6 Dancethin S Diary
dancethin.hatenablog.com

Kunci Jawaban Tema 2 Kelas 6 Halaman 26 27 28 29 30 Pembelajaran 4 Subtema 1 Buku Tematik Tribun Padang
padang.tribunnews.com

Buku Lks Kelas 6 Buku Latihan Ulangan Tematik Kelas 6 Semester 1 Dan 2 Cetakan 2019 Lazada Indonesia
www.lazada.co.id

Uji Kompetensi 5 2 Matematika Kelas 11 Caranya Gimana Brainly Co Id
brainly.co.id

Kunci Jawaban Lks Matematika Kelas 6 Semester 1 Guru Ilmu Sosial
www.ilmusosial.id

Kunci Jawaban Buku Tematik Tema 2 Kelas 6 Halaman 27 28 29 30 Pembelajaran 4 Subtema 1 Sriwijaya Post
palembang.tribunnews.com

Kunci Jawaban Senang Belajar Matematika Kelas 6 Kurikulum 2013 Revisi 2018 Sanjayaops
www.sanjayaops.com

Kunci Jawaban Tema 1 Halaman 19 20 22 23 24 26 27 28 Kelas 6 Buku Tematik Siswa Kumpulan Soal Ujian
kumpulansoalunbk.blogspot.com

Sd Kelas 6 Gemar Matematika
id.scribd.com

Kunci Jawaban Matematika Kelas Ix
id.scribd.com

Lks Matematika Kelas 6 Guru Ilmu Sosial
www.ilmusosial.id

Kunci Jawaban Lks Matematika Kelas 6 Semester 1 Guru Ilmu Sosial
www.ilmusosial.id

Isian Jawaban Buku Tema 2 Kelas 6 Pembelajaran 4 Halaman 27 28 29 30 31 Kumpulan Soal Ujian
kumpulansoalunbk.blogspot.com

Kunci Jawaban Senang Belajar Matematika Kelas 6 Kurikulum 2013 Revisi 2018 Sanjayaops
www.sanjayaops.com

Kunci Jawaban Buku Siswa Tema 8 Kelas 6 Halaman 20 22 23 25 26 27 28 Sanjayaops
www.sanjayaops.com

Kunci Jawaban Lks Matematika Kelas 6 Semester 1 Guru Ilmu Sosial
www.ilmusosial.id

Jawaban Buku Jelajah Matematika Kelas 6 Guru Ilmu Sosial
www.ilmusosial.id

Kunci Jawaban Tema 2 Kelas 6 Persatuan Dalam Perbedaan
rumusbilangan.com

Kunci Jawaban Buku Siswa Tema 9 Kelas 6 Halaman 27 28 29 30 33 34 35 37 38 Sanjayaops
www.sanjayaops.com

Kunci Jawaban Kelas 6 Tema 7 Halaman 28 Guru Ilmu Sosial
www.ilmusosial.id

Kunci Jawaban Buku Tematik Tema 5 Kelas 6 Halaman 27 29 30 Koesrow
koesrow.blogspot.com

Kunci Jawaban Lks Matematika Kelas 6 Semester 1 Guru Ilmu Sosial
www.ilmusosial.id

Jawaban Matematika Kelas8 Semester 1 Hal 22 Brainly Co Id
brainly.co.id

Kunci Jawaban Tema 8 Kelas 6 Halaman 16 17 18 Guru Ilmu Sosial
www.ilmusosial.id

Kunci Jawaban Tema 8 Kelas 6 Halaman 16 17 18 Guru Ilmu Sosial
www.ilmusosial.id

Kunci Jawaban Tema 9 Kelas 6 Tentang Menjelajah Angkasa Luar
rumusbilangan.com

Kunci Jawaban Buku Siswa Kelas 6 Tema 8 Halaman 29 Guru Ilmu Sosial
www.ilmusosial.id

Kunci Jawaban Tematik Kelas 6 Tema 6 Subtema 1 Pembelajaran 4 Halaman 21 25 26 27 Gawe Kami
www.gawekami.com

Buku Pendamping Matematika Smp Mts Kelas 8 Kunci Jawaban Incer Shopee Indonesia
shopee.co.id

Kunci Jawaban Tema 7 Kelas 6 Halaman 28 Guru Ilmu Sosial
www.ilmusosial.id

Kunci Jawaban Tema 6 Kelas 6 Halaman 47 Sampai 51 Guru Ilmu Sosial
www.ilmusosial.id

Kunci Jawaban Tema 8 Kelas 6 Lengkap Dengan Penjelasannya
rumusbilangan.com

Kunci Jawaban Buku Siswa Tematik Kelas 4 Tema 3 Peduli Terhadap Makhluk Hidup Ruang Edukasi
www.ruangedukasi.com

Buku Siswa Matematika Sd Mi Kelas 6 Kurikulum 2013 Penerbit Mediatama Shopee Indonesia
shopee.co.id

Kumpulan Kunci Jawaban Tema 2 Kelas 6 Halaman 27 28 29 Dan 30 Buku Tematik Kurikulum 2018 Sriwijaya Post
palembang.tribunnews.com

Kunci Jawaban Buku Siswa Tema 3 Kelas 6 Tokoh Dan Penemuan Sanjayaops
www.sanjayaops.com

Kunci Jawaban Tema 2 Kelas 6 Persatuan Dalam Perbedaan
rumusbilangan.com

Lks Matematika Kelas 4 5 6 Sd Semester 2 Kurikulum 2013 Shopee Indonesia
shopee.co.id

Kunci Jawaban Buku Tematik Tema 3 Kelas 6 Halaman 26 27 28 29 30 31 Koesrow
koesrow.blogspot.com

Kunci Jawaban Tema 4 Kelas 6 Halaman 34 35 Buku Tematik Kurikulum 2013 Revisi Ruang Edukasi
www.ruangedukasi.com

Kunci Jawaban Buku Siswa Tema 2 Kelas 6 Persatuan Dalam Perbedaan Sanjayaops
www.sanjayaops.com

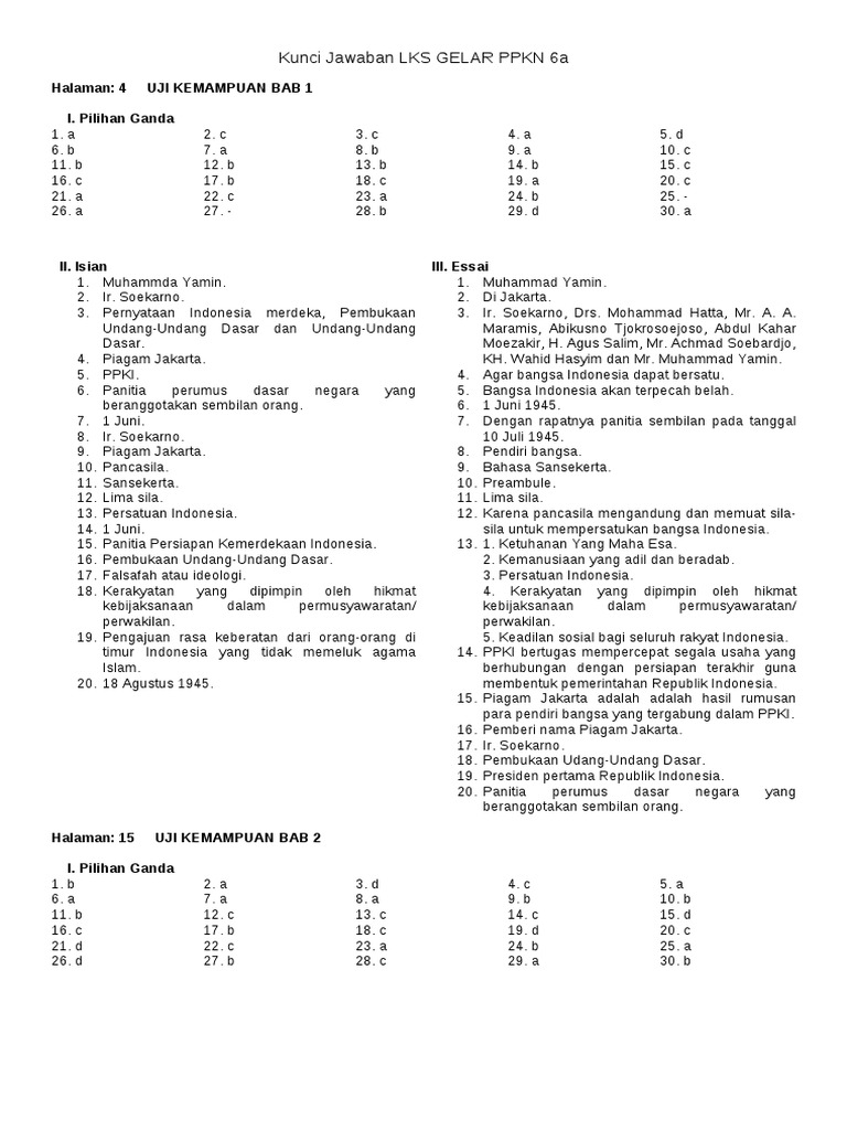
Kunci Jawaban Lks Gelar Pkn Kelas 6a
id.scribd.com

Kunci Jawaban Senang Belajar Matematika Kelas 6 Kurikulum 2013 Revisi 2018 Sanjayaops
www.sanjayaops.com

Buku Matematika Kelas 6 Sd Mi Gelora Aksara Pratama Shopee Indonesia
shopee.co.id

Kunci Jawaban Buku Siswa Senang Belajar Matematika Kelas 5 Halaman 26 33 Di 2020 Matematika Kelas 5 Matematika Buku
id.pinterest.com

Jawaban Soal Uraian Matematika Kelas Vii Smp Halaman 62 63 Beserta Caranya Tolong Di Jawab Brainly Co Id
brainly.co.id

Kunci Jawaban Matematika Kelas 6 Penerbit Mediatama Guru Ilmu Sosial
www.ilmusosial.id

Kunci Jawaban Halaman 27 28 29 30 31 Tema 2 Kelas 6 Sd Subtema 1 Pembelajaran 4 Soal Dan Jawaban
soaldanjawabanpg.blogspot.com

Matematika Untuk Kelas 6 Sd Mi
www.slideshare.net

Lengkap Kunci Jawaban Tema 2 Kelas 5 Halaman 24 23 25 26 27 28 29 30 31 32 33 34 35 36 Subtema 1 Tribun Kaltim
kaltim.tribunnews.com

Kunci Jawaban Kelas 6 Tema 7 Halaman 28 Guru Ilmu Sosial
www.ilmusosial.id

Lks Matematika Kelas 6 Guru Ilmu Sosial
www.ilmusosial.id

Kunci Jawaban Matematika Kelas 6 Halaman 10 Sampai 12
belajarbarengs.web.app

Kunci Jawaban Halaman 27 Guru Galeri
www.gurugaleri.com

Kunci Jawaban Buku Siswa Kelas 6 Tema 8 Halaman 29 Guru Ilmu Sosial
www.ilmusosial.id

Matematika Untuk Kelas 6
www.slideshare.net

Kunci Jawaban Buku Tematik Senang Belajar Matematika Kelas 6 Kurikulum 2013 Ruang Edukasi
www.ruangedukasi.com

Kunci Jawaban Tematik Kelas 6 Sanjayaops
www.sanjayaops.com

Kunci Jawaban Tema 6 Kelas 6 Halaman 47 Sampai 51 Guru Ilmu Sosial
www.ilmusosial.id

Kunci Jawaban Tema 2 Kelas 6 Persatuan Dalam Perbedaan
rumusbilangan.com

Kunci Jawaban Buku Siswa Kelas 6 Tema 8 Halaman 29 Guru Ilmu Sosial
www.ilmusosial.id

Kunci Jawaban Buku Siswa Kelas 6 Tema 8 Halaman 29 Guru Ilmu Sosial
www.ilmusosial.id

Kunci Jawaban Buku Siswa Kelas 6 Tema 6 Menuju Masyarakat Sejahtera Sanjayaops
www.sanjayaops.com

Buku Matematika Kelas 6 Sd Mi Kurikulum 2013 Penerbit Quadra Shopee Indonesia
shopee.co.id

Kunci Jawaban Matematika Kelas 6 Halaman 10 Sampai 12
belajarbarengs.web.app

Kunci Jawaban Tema 7 Kelas 6 Halaman 24 25 27 28 29 30 Di 2020 Buku Kunci Kurikulum
id.pinterest.com

Jawaban Matematika Kelas 8 Halaman 22 Guru Ilmu Sosial
www.ilmusosial.id

Kunci Jawaban Buku Tematik Persatuan Dalam Perbedaan Tema 2 Kelas 6 Sd Halaman 27 28 29 30 31 Tribun Pontianak
pontianak.tribunnews.com

Kunci Jawaban Tema 1 Halaman 19 20 22 23 24 26 27 28 Kelas 6 Buku Tematik Siswa Kumpulan Soal Ujian
kumpulansoalunbk.blogspot.com

Kunci Jawaban Tema 2 Kelas 6 Sd Halaman 27 28 29 30 Buku Tematik Subtema 1 Pembelajaran 4 Tribun Padang
padang.tribunnews.com

Kunci Jawaban Buku Tematik Kelas 6 Tema 2 Persatuan Dalam Perbedaan Ruang Edukasi
www.ruangedukasi.com

Kunci Jawaban Buku Siswa Tema 6 Kelas 6 Halaman 21 25 26 27 Sanjayaops
www.sanjayaops.com

Jawaban Uji Kompetensi 1 Matematika Kelas 9 Smp Halaman 58 Kurikulum 2013 Revisi 2018 Brainly Co Id
brainly.co.id

Kunci Jawaban Buku Siswa Tema 2 Kelas 6 Halaman 27 28 29 Sanjayaops
www.sanjayaops.com

Soal Penjas Kelas 6 Sd 2020 Dan Kunci Jawabannya
majalahpendidikan.com

Kunci Jawaban Tema 2 Kelas 6 Halaman 27 28 29 30 Bagian Dari Pembelajaran 4 Buku Tematik Sd Tribun Pontianak
pontianak.tribunnews.com

Kunci Jawaban Buku Tematik Tema 5 Kelas 6 Halaman 27 29 30 Koesrow
koesrow.blogspot.com

Seluruh Bank Soal Dan Jawaban
soalpilihangandabukubesar.blogspot.com

Kunci Jawaban Matematika Kelas 6
id.scribd.com

close