Latihan Uts Cepat

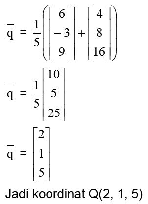
P4 6 Titik Q 7 6 Dan Titik R 7 1 Jika Titik Pq R Dan S


Soal Dan Pembahasan Transformasi Geometr
www.slideshare.net

Doc Bab 18 Transformasi Geometri Fixs Atsnan Fajar Academia Edu
www.academia.edu

Perbandingan Vektor
matematikasmalcc.blogspot.com

Soal Dan Pembahasan Transformasi Geometr
www.slideshare.net

Pdf Bab I Sistem Koordinat Cartesius Nurananto Toushirou Academia Edu
www.academia.edu

Pdf 20 Soal Soal Vektor Luluk Mukarramah Academia Edu
www.academia.edu

Gambarlah Titik Titik Berikut Pada Bidang Koordinat Cartesius Hubungkan Titik Titik Satu Dengan Brainly Co Id
brainly.co.id

Rumus Pembagian Ruas Garis Pada Vektor Madematika
www.madematika.net

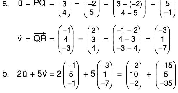
Diketahui Titik P 3 1 5 Q 1 2 0 Dan R 1 2 2 Jika Pq A Dan Qr Pr B Maka A Brainly Co Id
brainly.co.id

Ayo Kita Berlatih 2 2 No 6 7 8 9 10 Kelas 8 Smp Mts Koordinat Kartesius Buku Paket Bse Halaman 56 57 Youtube
www.youtube.com

Materi Jarak Pada Dimensi Tiga Idschool
idschool.net

Vektor Di Ruang Ditinjau Dari Sudut Pandang Aljabar Ppt Download
slideplayer.info

5 Sets Mt Merge Pages 51 100 Text Version Fliphtml5
fliphtml5.com

Vektor Di Ruang Ditinjau Dari Sudut Pandang Aljabar Ppt Download
slideplayer.info

Doc Vektor Ananta Ayu Academia Edu
www.academia.edu

Soal Dan Pembahasan Transformasi Geometr
www.slideshare.net

Pentium Sintesi
pentiumsintesi.blogspot.com

Kelas 08 Smp Matematika S1 Siswa 2017 By P E Thea Issuu
issuu.com

1 Diketahui Titik A 3 1 B 3 5 C 2 5 Jika Ketiga Titik Tersebut Dihubungkan Akan Membentuk Brainly Co Id
brainly.co.id

Matematika Kelas 8 1 Mathematics Quiz Quizizz
quizizz.com

Materi Matematika Kelas Xi Semester 2 Bab V Transformasi
tomyherawansman48jkt.blogspot.com

Pdf Solving Directly General Third Order Ordinary Differential Equations Using Two Point Four Step Block Method
www.researchgate.net

Diketahui Titik P 4 2 Q 1 5 Dan R 5 2 Tentukan Koordinat Titik S Jika Pqrs Membentuk Bangun Brainly Co Id
brainly.co.id

Soal Dan Pembahasan Transformasi Geometr
www.slideshare.net

Pdf Improvement Of Cvrp And Mtvrp Solution Using Local Search Method And Its Implementation Using Google Map
www.researchgate.net

Soal Dan Pembahasan Transformasi Geometr
www.slideshare.net

Coba Perhatikan Kembali Koordinat Kartesius Di Bawah Ini Amati Kedudukan Titik Titik Pada Tiap Brainly Co Id
brainly.co.id

Kunci Jawaban Gambarlah Titik A 4 2 B 4 9 C 2 2 Dan D 3 9 Pada Koordinat Kartesius A Tentukan Jarak Setiap Titik Dengan Sumbu X Rofa Education Centre
rofaeducationcentre.blogspot.com

Https Openresearch Repository Anu Edu Au Bitstream 1885 145067 1 Pl C75 Pdf

Persamaan Lingkaran Yang Berpusat Di O
www.slideshare.net

Diketahui Dalam Koordinat Kartesius Terdapat Titik P Q R Titik P 4 6 Dan Titik Q 7 1 Jika Titik Brainly Co Id
brainly.co.id

Diketahui Dalam Koordinat Kartesius Terdapat Titik P Q R Titik P 4 6 Dan Titik Q 7 1 Jika Titik Brainly Co Id
brainly.co.id

Pdf A Classification Of The Cubic Semisymmetric Graphs Of Order 34p 2
www.researchgate.net

Diketahui Koordinat Titik P 3 2 5 Q 2 3 4 Dan R 1 4 3 Tentukan Mas Dayat
www.masdayat.net

5 Sets Mt Merge Pages 51 100 Text Version Fliphtml5
fliphtml5.com

20 Diketahui Dalam Koordinat Kartesius Terdapat Titik P Q Dan R Titik P 7 1 Dan Titik R 4 6 Brainly Co Id
brainly.co.id

Belah Ketupat Pqrs Mempunyai Koordinat Titik P 1 1 Q 3 2 R 7 1 Dan S 3 4 A Berapa Panjang Brainly Co Id
brainly.co.id

Https Www Rug Nl Research Portal Files 65228605 H N Rasyid Pdf

Diketahui Titik P 8 3 Dan Q 4 3 Titik R Adalah Sebuah Titik Pada Garis Hubung Pq Mas Dayat
www.masdayat.net

Materi Matematika Kelas Xi Semester 2 Bab V Transformasi
tomyherawansman48jkt.blogspot.com

Distribution Of Particle Size Of Granite Residual Soil Download Table
www.researchgate.net

Kelas 8 Koordinat Kartesius Uji Kompetensi 2 Youtube
www.youtube.com

Ayo Kita Berlatih 2 2 No 6 7 8 9 10 Kelas 8 Smp Mts Koordinat Kartesius Buku Paket Bse Halaman 56 57 Youtube
www.youtube.com

Https Openresearch Repository Anu Edu Au Bitstream 1885 145067 1 Pl C75 Pdf

Koordinat Kartesius Matematika Kelas 8 Bse Kurikulum 2013 Revisi 2017 Lat 2 2 No 2 Koordinat T Youtube
www.youtube.com

Nyatakan Vektor Vektor Berikut Dengan Menggunakan Vektor Kolom A Om B Kl C Ml D Course Hero
www.coursehero.com

Jawaban Buku Matematika Kelas 8 Uji Kompetensi 2 Hal 66 70 Diketahui Titik A 3 1 B 3 5 C 2 5 Pentium Sintesi
pentiumsintesi.blogspot.com

Perbandingan Vektor
matematikasmalcc.blogspot.com

Jajargenjang Pqrs Mempunyai Koordinat Titik P 3 2 Q 4 2 Dan R 6 4 Gambarlah Bangun Datar Brainly Co Id
brainly.co.id

Http Documents1 Worldbank Org Curated Fr 860941556012044967 Pdf Environmental And Social Impact Assessment Appendices Pdf

Diketahui Koordinat Titik P 4 3 5 Q 2 3 5 Dan R 4 3 1 Besar Sudut Pqr Brainly Co Id
brainly.co.id

Ruang Dimensi Tiga 1 Pages 1 24 Flip Pdf Download Fliphtml5
fliphtml5.com

Diketahui Dalam Koordinat Kartesius Terdapat Titik P Q Danr Titik P 4 6 Dan Titik Q 7 1 Jika Brainly Co Id
brainly.co.id

Koordinat Kartesius Matematika Kelas 8 Bse Kurikulum 2013 Revisi 2017 Lat 2 2 No 2 Koordinat T Youtube
www.youtube.com

Kunci Jawaban Matematika Kelas 8 Halaman 56 57 Ayo Kita Berlatih 2 2 Kosingkat
www.kosingkat.id

Rumus Cepat Matematika Vektor
www.slideshare.net

Definition Of Entities In Set Partitioning Model Under A Traditional Download Table
www.researchgate.net

Diketahui Titik P 5 7 5 Q 4 7 3 Dan R 2 7 4 Pq Wakil Vektor A Dan Pr Wakil Vektor B Nilai Brainly Co Id
brainly.co.id

Rumus Cepat Matematika Vektor
www.slideshare.net

External Negation In Malay Indonesian Stress Linguistics Clause
www.scribd.com

Soal Vektor Diketahui Titik A 1 2 4 B 5 3 6 C 13 5 P Segaris Nilai P Adalah Youtube
m.youtube.com

5 Sets Mt Merge Pages 51 100 Text Version Fliphtml5
fliphtml5.com

Maretong Soal Dan Pembahasan Dimensi Tiga
www.maretong.com

Http Documents1 Worldbank Org Curated Fr 860941556012044967 Pdf Environmental And Social Impact Assessment Appendices Pdf

Multiprogramcareer Blog
multiprogramcareer.weebly.com

Posisi Titik Pada Koordinat Kartesius Terhadap Titik Acuan Tertentu Danioyo
danioyo.wordpress.com

Diketahui Titik P 2 1 Titikq 2 4 Titik R 7 4 Dan Titik S Jika Keempat Titik Tersebut Dihubungkan Brainly Co Id
brainly.co.id

Jawaban Buku Matematika Kelas 8 Uji Kompetensi 2 Hal 66 70 Diketahui Titik A 3 1 B 3 5 C 2 5 Pentium Sintesi
pentiumsintesi.blogspot.com

Perbandingan Vektor
matematikasmalcc.blogspot.com

Cara Membuat Perbandingan Segmen Garis Berpendidikan Com
www.berpendidikan.com

Matematika Kelas 10 Mempelajari Konsep Dasar Vektor
blog.ruangguru.com

Tutorial Menjawab Soal Matematika Kelas 8 Tentang Memahami Posisi Titik Terhadap Sumbu X Dan Sumbu Y Your Chemistry A
www.avkimia.com

Vektor Di Ruang Ditinjau Dari Sudut Pandang Aljabar Ppt Download
slideplayer.info

Diketahui Dalam Koordinat Kartesius Terdapat Titik P Q R Titik P 4 6 Dan Titik Q 7 1 Jika Titik Brainly Co Id
brainly.co.id

Pdf Modul Matematika Dimensi Tiga Thalia Thamsir Academia Edu
www.academia.edu

Tentukan Koordinat Titik Berat Segitiga Abc A 2 3 0 B 6 9 3 C 3 5 2 Youtube
m.youtube.com

Titik R Terletak Diantara Titik P 2 7 8 Dan Q 1 1 1 Yg Membagi Garis Pq Didalam Dgn Brainly Co Id
brainly.co.id

Kunci Jawaban Gambarlah Titik A 4 2 B 4 9 C 2 2 Dan D 3 9 Pada Koordinat Kartesius A Tentukan Jarak Setiap Titik Dengan Sumbu X Rofa Education Centre
rofaeducationcentre.blogspot.com

Transformasi
www.slideshare.net

Vektor Di Ruang Ditinjau Dari Sudut Pandang Aljabar Ppt Download
slideplayer.info

Contoh Titik Titik Pada Bidang Koordinat Video Khan Academy
id.khanacademy.org

Posisi Titik Terhadap Titik Asal 0 0 Dan Terhadap Titik Tertentu A B Matematika Smp Kelas 8 Youtube
www.youtube.com

Diketahui Titik P 3 1 Q 3 7 R 9 7 Dan Titik S Jika Keempat Titik Tersebut Di Hubungkan Akan Brainly Co Id
brainly.co.id

Koordinat Kartesius Matematika Kelas 8 Bse Kurikulum 2013 Revisi 2017 Uk 2 No 2 Koordinat Youtube
www.youtube.com

Contoh Soal Dimensi Tiga Dan Jawaban Pembahasan
soalkimia.com

Kelas 8 Koordinat Ayo Kita Berlatih 2 1 Dan 2 2 Youtube
www.youtube.com

Diketahui Dalam Kordinat Kartesius Terdapat Titik P Q Dan R Titik P 4 6 Dan Titik Q 7 1 Jika Brainly Co Id
brainly.co.id

Perbandingan Vektor
matematikasmalcc.blogspot.com

Kunci Jawaban Matematika Kelas 8 Halaman 56 57 Ayo Kita Berlatih 2 2 Kosingkat
www.kosingkat.id

1 Kedudukan Titik Garis Dan Bidang Dalam Ruang 1
studylibid.com

Rumus Cepat Matematika Vektor
www.slideshare.net

Vektor Di Ruang Ditinjau Dari Sudut Pandang Aljabar Ppt Download
slideplayer.info

Jika Titik P Q R Dan S Dihubungkan Akan Mem Bentuk Bangun Trapesium Sama Kaki Koordinat Titik S Yang Tepat Adalah
www.utakatikotak.com

Bidang Koordinat Mathematics Quizizz
quizizz.com

5 Sets Mt Merge Pages 51 100 Text Version Fliphtml5
fliphtml5.com

Ruang Dimensi Tiga 1 Pages 1 24 Flip Pdf Download Fliphtml5
fliphtml5.com

Materi Matematika Kelas Xi Semester 2 Bab V Transformasi
tomyherawansman48jkt.blogspot.com

Koordinat Ruang Dan Vektor Dalam Ruang Pendidikan Matematika Laman 4
yos3prens.wordpress.com

Tutorial Menjawab Soal Matematika Kelas 8 Tentang Memahami Posisi Titik Terhadap Sumbu X Dan Sumbu Y Your Chemistry A
www.avkimia.com

Diketahui Titik P 4 5 Serta Titik Q 3 2 R 4 7 S 5 4 Dan T 3 6 Tentukan Koordinat Titik Brainly Co Id
brainly.co.id

close