Latihan Uts Cepat

Matriks Pencerminan Terhadap Sumbu Y


Transformasi Geometri 6 Refleksi Terhadap Garis X H Dan Y K Part 1 Youtube
www.youtube.com

Transformasi Geometri Translasi Refleksi Rotasi Dan Dilatasi Tambah Pinter
tambahpinter.com

Prolog Materi Definisi Pencerminan Terhadap Sumbu X Contoh Soal Dan Pembahasannya Zenius Education
www.zenius.net

Komposisi Pencerminan Garis Vertikal Atau Horizontal Konsep Matematika Koma
www.konsep-matematika.com

Bayangan Garis X 2y 5 Bila Di Transformasi Dengan Matriks Transformasi 3 5 1 2 Dilanjutkan Brainly Co Id
brainly.co.id

Scientific Paradise Pembahasan Soal Transformasi Geometri
scientific-paradise.blogspot.com

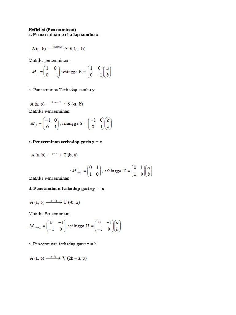
Pencerminan terhadap garis y x matriks pencerminan d.

Matriks pencerminan terhadap sumbu y. Kumpulan soal mudah sedang sukar. Pada soal juga tidak disebutkan titik pusat transformasinya sehingga titik pusatnya dianggap sama yaitu 00. Kumpulan soal mudah sedang sukar.

A3 4 maka x dan y 3 dengan menggunakan persamaan transformasi refleksi terhadap sumbu y yaitu x x dan y y diperoleh. Pencerminan terhadap sumbu x matriks percerminan. Tidak jauh berbeda dari pencerminan titik terhadap sumbu x refleksi terhadap sumbu y juga memiliki rumus sendiri.

Di sini kamu akan belajar tentang pencerminan terhadap garis xh yk melalui video yang dibawakan oleh bapak anton wardaya. Kamu akan diajak untuk memahami materi hingga metode menyelesaikan soal. Pencerminan terhadap garis y x matriks pencerminan.

Pencerminan terhadap sumbu y matriks pencerminan. Di sini kamu akan belajar tentang pencerminan terhadap sumbu x sumbu y melalui video yang dibawakan oleh bapak anton wardaya. Pencerminan terhadap garis x h matriks pencerminan.

Ini artinya ketiga matriks transformasinya bisa dikalikan secara langsung tanpa harus mengerjakan satu satu. Pencerminan terhadap sumbu x. Rumus transformasi refleksi matematika rumus web mengumpulkan materi rumus transformasi refleksi matematika ini untuk anak sma demi uan snmptn spmb refleksi pencerminan a.

Pencerminan terhadap sumbu y. Secara umum refleksi terhadap sumbu y dapat didefinisikan sebagai berikut contoh soal refleksi terhadap sumbu y 57 tentukan bayangan dari a3 4 dan b2 3 yang direfleksikan terhadap sumbu y. Kamu akan diajak untuk memahami materi hingga metode menyelesaikan soal.

Selain pencerminan terhadap sumbu x dalam materi geometri bidang datar lainnya adalah refleksi terhadap sumbu y.

Pertemuan 8 Transformasi Linier 4 2 Bilqis Ppt Download
slideplayer.info

Bayangan Garis X 2y 5 Bila Ditransformasikan Dengan Matriks Transformasi 3 5 1 2 Dilanjutkan Brainly Co Id
brainly.co.id

Transformasi Geometri Translasi Refleksi Rotasi Dilatasi Idschool
idschool.net

Transformasi
www.slideshare.net

Transformasi Geometri Translasi Refleksi Rotasi Dilatasi
www.yuksinau.id

M4 Soaljawab Transformasi
id.scribd.com

Pelajaran Soal Rumus Pencerminan Terhadap Sumbu X Sumbu Y Wardaya College
www.wardayacollege.com

Transformasi Geometri
www.slideshare.net

Transformasi Geometri
sumberbelajar.belajar.kemdikbud.go.id

Geometri Indrawanpradinata
indrawanpradinata.wordpress.com

Rumus Transformasi Refleksi Matematika
id.scribd.com

Lebih Mengenal Transformasi Geometri Rumus Matematika
rumus-matematika.com

Bab 5 Transformasi Ppt Download
slideplayer.info

Diketahui Segitiga Abc Yang Titik Sudutnya Di A 3 2 B 4 4 Dan C 1 3 Gambarlah Segitiga Brainly Co Id
brainly.co.id

Amiksyah Geometri Transformasi Refleksi 6f
amikwahyuningsih.blogspot.com

Transformasi Geometri Translasi Refleksi Rotasi Dilatasi Idschool
idschool.net

Matriks Percerminan Refleksi Pencerminan A Pencerminan Terhadap Sumbu X
id.scribd.com

Transformasi Geometri Mathematic Education
rizkanandafebriani.wordpress.com

Matriks Komposisi Transformasi
id.scribd.com

Soal Dan Pembahasan Refleksi Pencerminan Dengan Matriks Ilmuku Duniaku
ilmuku-duniaku14.blogspot.com

Amiksyah Geometri Transformasi Refleksi 6f
amikwahyuningsih.blogspot.com

Persamaan Pencerminan
www.slideshare.net

Pencerminan Terhadap Garis Y Mx C Konsep Matematika Koma
www.konsep-matematika.com

Matriks Transformasi Geometri Smatika
smatika.blogspot.com

Transformasi Geometri Makalah Dilatasi Contoh Kumpulan Soal
www.dosenpendidikan.co.id

Transformasi Geometri Translasi Rotasi Dilatasi Rumus Contoh Soal
www.studiobelajar.com

Transformasi Geometri Translasi Refleksi Rotasi Dilatasi Idschool
idschool.net

Lebih Mengenal Transformasi Geometri Rumus Matematika
rumus-matematika.com

Cara Menentukan Bayangan Garis Lurus Atau Kurva Oleh Pencerminan Refleksi Terhadap Sumbu X Dan Y Youtube
m.youtube.com

Transformasi Geometri Translasi Rotasi Dilatasi Rumus Contoh Soal
www.studiobelajar.com

Transformasi Geometri Tempat Ideal Mencari Ilmu Apabila Ada Soal Untulatihan Pembahasan Matriks Transformasi Refleksi Terhadap Y X Adalah Maka X Y Dan Y Pdf Document
fdokumen.com

Transformasi Geometri Translasi Rotasi Dilatasi Rumus Contoh Soal
www.studiobelajar.com

Http Syafik Wonokusumo Blogspot Com 2012 11 Sifat Sifat Transformasi 414 Html

Pencerminan Terhadap Garis Y Mx C Madematika
www.madematika.net

Rumus Transformasi Geometri
rumushitung.com

Refleksi Transformasi Geometri
pt.slideshare.net

1
encrypted-tbn0.gstatic.com

Transformasi Geometri Translasi Refleksi Rotasi Dilatasi
www.yuksinau.id

Geometri Transformasi Refleksi Madematika
www.madematika.net

Contoh Soal Transformasi Geometri Translasi Refleksi Rotasi Dilatasi
soalkimia.com

Transformasi Geometri Translasi Refleksi Rotasi Dilatasi Idschool
idschool.net

Transformasi Geometri Pemindahan Objek Titik Garis Bidang Datar Pada Bidang Perubahan Yang Mungkin Terjadi Kedudukan Letak Arah Ukuran Ppt Download
slideplayer.info

Transformasi Geometri 4 Refleksi Pencerminan Terhadap Garis Y X Youtube
www.youtube.com

Transformasi Geometri Translasi Rotasi Dilatasi Rumus Contoh Soal
www.studiobelajar.com

Rumus Pencerminan Terhadap Garis Y X Dan Contoh Soalnya
www.belajarmtk.com

Jawaban Ruko Transformasi Geometri Kelas Xii Gulali Beku
gulalibeku.blogspot.com

Transformasi Geometri Ppt Download
slideplayer.info

Transformasi Geometri Translasi Refleksi Rotasi Dilatasi Idschool
idschool.net

Transformasi Geometri Translasi Rotasi Dilatasi Rumus Contoh Soal
www.studiobelajar.com

Pencerminan Terhadap Sumbu Y Belajar Mtk
www.belajarmtk.com

Https Encrypted Tbn0 Gstatic Com Images Q Tbn 3aand9gcttogqvncc5gltelc1caiw5ncxyipzzgvpaknw Hgdisax9ndjr Usqp Cau
encrypted-tbn0.gstatic.com

Transformasi Geometri Ppt Download
slideplayer.info

Transformasi Geometri Translasi Refleksi Rotasi Dilatasi
www.yuksinau.id

Persamaan Pencerminan
www.slideshare.net

Https Encrypted Tbn0 Gstatic Com Images Q Tbn 3aand9gcqtfwbpa59zct1oy367zbf51ffc1mxigxsbvo4djy0ximq41fqo Usqp Cau
encrypted-tbn0.gstatic.com

Cara Penyelesaian Soal Geometri Transformasi Axsioma 19 Generasi Optimis
bedahrumus.blogspot.com

Rumus Transformasi Geometri
rumushitung.com

Pembuktian Matriks Pencerminan Dua Garis Sembarang Konsep Matematika Koma
www.konsep-matematika.com

Refleksi Pencerminan
www.smktarunabangsa.sch.id

Refleksi Atau Pencerminan Pada Transformasi Konsep Matematika Koma
www.konsep-matematika.com

Transformasi
www.slideshare.net

Transformasi Geometri
sumberbelajar.belajar.kemdikbud.go.id

Transformasi Geometri Ppt Download
slideplayer.info

Doc Matriks Transformasi Wiwin Sunarya Academia Edu
www.academia.edu

Pembuktian Matriks Pencerminan Garis Y Mx C Konsep Matematika Koma
www.konsep-matematika.com

Persamaan Pencerminan
www.slideshare.net

Transformasi Geometri Learn With Alice
learnwithalice.wordpress.com

Doc Matematika Pkl 2 Bayu Aziz Saputra Academia Edu
www.academia.edu

Prolog Materi Definisi Pencerminan Terhadap Sumbu Y Contoh Soal Dan Pembahasannya Zenius Education
www.zenius.net

Https Encrypted Tbn0 Gstatic Com Images Q Tbn 3aand9gcrjj1pyqbjaz3fjdjiqkdue 7mrh68hiztu4ep2li5olqg7gui Usqp Cau
encrypted-tbn0.gstatic.com

Rumus Transformasi Refleksi Matematika
id.scribd.com

Transformasi Geometri Translasi Refleksi Rotasi Dilatasi Idschool
idschool.net

Pelajaran Soal Rumus Pencerminan Terhadap Garis X H Y K Wardaya College
www.wardayacollege.com

Lebih Mengenal Transformasi Geometri Rumus Matematika
rumus-matematika.com

Persamaan Pencerminan
www.slideshare.net

Transformasi Geometri Ppt Download
slideplayer.info

Transformasi Geometri Translasi Rotasi Dilatasi Rumus Contoh Soal
www.studiobelajar.com

Pdf Soal Soal Transformasi Geometri Digna Raa Academia Edu
www.academia.edu

Januari 2017 Konsep Matematika Koma
www.konsep-matematika.com

Tranformasi Bangun Datar Ppt Download
slideplayer.info

Rumus Pencerminan Terhadap Garis Y X Dan Contoh Soalnya
www.belajarmtk.com

Transformasi Geometri Translasi Refleksi Rotasi Dilatasi Idschool
idschool.net

Komposisi Rotasi
id.scribd.com

Pencerminan Transformasi Bangun Datar Atau Refleksi
matematikaakuntansi.blogspot.com

Pelajaran Soal Rumus Pencerminan Terhadap Garis X H Y K Wardaya College
www.wardayacollege.com

5 Transformasi Geometri
www.slideshare.net

Refleksi Pencerminan Cute766
cute766.info

Transformasi Geometri Ppt Download
slideplayer.info

Transformasi
www.slideshare.net

Lembar Kerja Siswa Refleksi
es.scribd.com

Jika C1 Adalah Pencerminan Terhadap Titik O 0 0 C2 Adalah Pencerminan Terhadap Sumbu X C3 Brainly Co Id
brainly.co.id

Matriks Transformasi Yang Mewakili Pencerminan Terhadap Sumbu X Dilanjutkan Dengan Rotasi 90derajat Brainly Co Id
brainly.co.id

Transformasi Geometri Sederhana Ppt Download
slideplayer.info

Pdf Bab Xxi Transformasi Geometri Aisyah Mawar Rahayu Academia Edu
www.academia.edu

Doc Course 2 Ipa Andrean Firnanto Academia Edu
www.academia.edu

Transformasi Geometri
www.slideshare.net

M4 Soaljawab Transformasi
id.scribd.com

Bab 19 Tranformasi
www.slideshare.net

close